AlphaBot: Programmier-Challenge I SoSe25

| Autor: | Prof. Dr.-Ing. Schneider |
| Modul: | Praxismodul II |
| Lektion 6: | Mechatronik, Informatikpraktikum 2, 2. Semester |
| Datum: | 08.05.2025 |
| Bearbeitungsdauer: | 45 Minuten |
Inhalt
Diese Programmier-Challenge dient als Lernzielkontrolle und semesterbegleitende Abschlussprüfung. Im Termin erhalten Sie eine Herausforderung, die Sie in einem festen Zeitrahmen als Team oder Einzelperson lösen. Das Ergebnis dieser Challenge wird in SVN gesichert und anschließend bewertet. Inhaltlich ist die Aufgabe eine Mischung der vorangegangenen Lektionen 1-4. Sie haben Zugriff auf Ihre Quellen in SVN sowie die Demos.
Vorbereitung
- Die Programmier-Challenge verbindet die Lektionen 1-4.
- Als Vorbereitung könnten Sie sich die Lektionen noch einmal ansehen und diese Übungsaufgabe
bearbeiten. - Üben Sie das Planen der Software mit dem PAP-Designer. Bereiten Sie sich ein Template für die Arduino Programmierung vor.
- Nutzen Sie die Funktionen aus den vorherigen Lektionen. Schreiben Sie nicht alles neu. Wenden Sie das Gelernte an.
Einleitung
Sie haben den Auftrag bekommen ein Fahrerloses Transportfahrzeug (FTF) zu entwickeln. Nutzen Sie den AlphaBot um die Funktion Ihrer Programmierung nachzuweisen. Die Anforderungen an Ihr System sind in Tabelle 1 aufgeführt.
Anforderungen
| Req. | Beschreibung | Priorität |
|---|---|---|
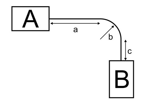
| 1 | Das FTF muss exakt 1,5 m kontinuierlich vorwärts geradeaus von Feld A zu Feld B fahren (a=1,5 m, b=0 m, c=0 m, vgl. Abb. 1). | 1 |
| 2 | Das FTF muss langsam anfahren, so dass erst nach 20 cm die Maximalgeschwindigkeit erreicht wird und 20 cm vor dem Ziel verzögern. | 1 |
| 3 | Die Messwerte Zeitstempel in s und die gefahrene Strecke des linken und rechten Rades müssen in der ASCII-Datei Geradeausfahrt.txt gespeichert werden. |
1 |
| 4 | In MATLAB® muss aus der Strecke die Geschwindigkeit und Beschleunigung des AMR berechnet und als Plot (1x3) untereinander Strecke in m, Geschwindigkeit in und Beschleunigung in über der Zeit in s dargestellt werden. | 1 |
| 5 | Der verbaute Ultraschallsensor muss Hindernisse auf dem Fahrweg entdecken und <10 cm mit einem Notstopp reagieren. | 1 |
| 6 | Wird das Hindernis entfernt, nimmt der Roboter seine Fahrt wieder auf. | 1 |
| 7 | Fehlbremsungen müssen durch geeignete Signalfilterung vermieden werden. | 2 |
Nützliche MATLAB®-Befehle: figure subplot, diff
Durchführung
Aufgabe 5.1
Planen Sie Ihre Software mittels Programmablaufplan (PAP).
Das PAP soll über folgeden Eigenschaften verfügen:
- Bezug zum Programm
- Header (Autoren, Gruppe, Datum, Funktion,...)
- erläuternde Kommentare und
- eine verständliche Funktionsbeschreibung
Sichern Sie das Zustandsdiagramm in den ersten 15 Minuten der Challenge in SVN.
Arbeitsergebnis: FTF.pap
Aufgabe 5.2
Setzen Sie die geplante Software 1:1 mit der Arduino IDE um. Das Programm FTF.ino muss folgende Anforderungen erfüllen
- Header,
- erläuternde Kommentare,
- einhalten der Programmierrichtlinien und die
- Umsetzung der Funktionalität gemäß Tabelle 1.
Arbeitsergebnis: FTF.ino, Geradeausfahrt.txt, zeigeRoboterPose.m
Aufgabe 5.3
Testen Sie, ob Ihre Software die Anforderungen in Tabelle 1 erfüllt.
| Req. | Testergebnis: bestanden/nicht bestanden | Geprüft von Prof. Schneider |
|---|---|---|
| 1 | ||
| 2 | ||
| 3 | ||
| 4 | ||
| 5 | ||
| 6 | ||
| 7 |
Arbeitsergebnis: Testprotokoll
Aufgabe 5.4
Dokumentieren Sie Ihre Ergebnisse nachhaltig in SVN.
- Halten Sie die Regeln für den Umgang mit SVN ein.
- Sichern Sie alle Ergebnisse mit einem aussagekräftigen Text (
log-message) in SVN. - Halten Sie die Programmierrichtlinie für C ein.
- Versehen Sie jedes Programm mit einem Header (Header Beispiel für C).
- Kommentiere Sie den Quelltext umfangreich.
- Sichern Sie Ihre Ergebnisse in Ordnern (z. B.
Inf2P_A1\Termin_05\).
Arbeitsergebnis in SVN: SVN Log
Hinweise
- Erbringen Sie eine Eigenleistung. Plagiate werden mit 0 Punkten bewertet.
- Gehen Sie systematisch vor Planung → Umsetzung → Test → Dokumentation.
Bewertung
| # | Aufgabe | Punkte |
|---|---|---|
| 6.1 | Qualität der Planungsdaten | |
| Bezug zum Programm | 0,5 | |
| Header (Autoren, Datum, Funktion,...) | 0,5 | |
| Erläuternde Kommentare | 0,5 | |
| Verständliche Funktionsbeschreibung | 1 | |
| 6.2 | Umsetzung des PAP | |
| Header (Autoren, Datum, Funktion,...) | 0,5 | |
| Erläuternde Kommentare | 0,5 | |
| Einhalten der Programmierrichtlinien | 0,5 | |
| 1:1 Umsetzung der Planung | 1 | |
| 6.3 | Test der Anforderungen | |
| 1-7 (je 0,5, s. Tabelle 1) | 3,5 | |
| 6.4 | Umgang mit SVN | 0,5 |
| Ordner angelegt | 0,5 | |
| Aussagekräftige Log-Messages | 0,5 | |
| Summe: | 10 |
FAQ
- Ist Anwesenheitspflicht? Ja.
- Muss ich den Baukasten mitbringen? Nein. Die AlphaBots stehen Ihnen im Labor zur Verfügung.
- Ist es ein Plagiat, wenn ich Quelltext anderer kopiere und als meine Leistung in einer Prüfung abgebe? Ja.
- Darf ich für die Lösung eine KI verwenden? Nein. Die Prüfungsleistung ist eine Eigenleistung und die Verwendung einer KI wie z. B.
chatGPTgilt als Plagiat.
→ Termine 1 2 3 4 5 6 7 8 9 10
→ zurück zum Hauptartikel: Informatik Praktikum 2